Cynhyrchion

Stabilizer Golau ar gyfer Resin ABS
Anfon ymchwiliad
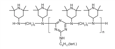
Cyflwyniad Cynnyrch
Mae'r sefydlogi golau amin wedi'i lesteirio (HALS) ar wella'r perfformiad heneiddio gwrth-ffotoocsidiol yn synergaidd o ailsefyll ABS yn cael ei gymharu a'i astudio. Gwerthuswyd y mynegai melyn o samplau ailsefyll ABS o dan amodau heneiddio golau naturiol. Cam rwber Polybutadiene (PB) 1,4 mynegai amsugno IR C-H yn y strwythur trawst a mae mynegai amsugno IR C=O a gynhyrchir gan ffotoocsidiad, caledwch Rockwell a sglein yn newid dros amser. Mae'r canlyniadau'n dangos y gall sefydlogi golau HALS gadw'r mynegai melyn o ABS yn sefydlog ar ôl 6 mis o ystwythder golau naturiol.
Tagiau poblogaidd: stabilizer golau ar gyfer resin abs, Tsieina, cyflenwyr, gweithgynhyrchwyr, ffatri, prynu, pris, dyfynbris, a wnaed yn Tsieina
Anfon ymchwiliad







